[中文](examples.md) | English
# Examples
## Recognize PDF Files and Return Markdown Format
For PDF files, you can use the `.recognize_pdf()` function to recognize the entire file or specific pages and output the results as a Markdown file. For example, for the following PDF file ([examples/test-doc.pdf](examples/test-doc.pdf)),
you can call the function like this:
```python
from pix2text import Pix2Text
img_fp = './examples/test-doc.pdf'
p2t = Pix2Text.from_config()
doc = p2t.recognize_pdf(img_fp, page_numbers=[0, 1])
doc.to_markdown('output-md') # The exported Markdown information is saved in the output-md directory
```
You can also achieve the same functionality using the command line. Below is a command that uses the premium models (MFD + MFR + CnOCR) for recognition:
```bash
p2t predict -l en,ch_sim --mfd-config '{"model_name": "mfd-pro-1.5", "model_backend": "onnx"}' --formula-ocr-config '{"model_name":"mfr-pro-1.5","model_backend":"onnx"}' --text-ocr-config '{"rec_model_name": "doc-densenet_lite_666-gru_large"}' --rec-kwargs '{"page_numbers": [0, 1]}' --resized-shape 768 --file-type pdf -i docs/examples/test-doc.pdf -o output-md --save-debug-res output-debug
```
The recognition result can be found in [output-md/output.md](output-md/output.md).
> If you wish to export formats other than Markdown, such as Word, HTML, PDF, etc., it is recommended to use the tool [Pandoc](https://pandoc.org) to convert the Markdown result.
## Recognize Images with Complex Layout
You can use the `.recognize_page()` function to recognize text and mathematical formulas in images. For example, for the following image ([examples/page2.png](examples/page2.png)):
{: style="width:600px"}
You can call the function like this:
```python
from pix2text import Pix2Text
img_fp = './examples/test-doc.pdf'
p2t = Pix2Text.from_config()
page = p2t.recognize_page(img_fp)
page.to_markdown('output-page') # The exported Markdown information is saved in the output-page directory
```
You can also achieve the same functionality using the command line. Below is a command that uses the premium models (MFD + MFR + CnOCR) for recognition:
```bash
p2t predict -l en,ch_sim --mfd-config '{"model_name": "mfd-pro-1.5", "model_backend": "onnx"}' --formula-ocr-config '{"model_name":"mfr-pro-1.5","model_backend":"onnx"}' --text-ocr-config '{"rec_model_name": "doc-densenet_lite_666-gru_large"}' --resized-shape 768 --file-type page -i docs/examples/page2.png -o output-page --save-debug-res output-debug-page
```
The recognition result is similar to [output-md/output.md](output-md/output.md).
## Recognize Paragraph Images with Both Formulas and Texts
For paragraph images containing both formulas and texts, you don't need to use the layout analysis model. You can use the `.recognize_text_formula()` function to recognize both texts and mathematical formulas in the image. For example, for the following image ([examples/en1.jpg](examples/en1.jpg)):
{: style="width:600px"}
You can call the function like this:
```python
from pix2text import Pix2Text, merge_line_texts
img_fp = './examples/en1.jpg'
p2t = Pix2Text.from_config()
outs = p2t.recognize_text_formula(img_fp, resized_shape=768, return_text=True)
print(outs)
```
The returned result `outs` is a dictionary, where the key `position` represents the box position information, `type` represents the category information, and `text` represents the recognition result. For detailed explanations, see [API Documentation](#api-documentation).
You can also achieve the same functionality using the command line. Below is a command that uses the premium models (MFD + MFR + CnOCR) for recognition:
```bash
p2t predict -l en,ch_sim --mfd-config '{"model_name": "mfd-pro-1.5", "model_backend": "onnx"}' --formula-ocr-config '{"model_name":"mfr-pro-1.5","model_backend":"onnx"}' --text-ocr-config '{"rec_model_name": "doc-densenet_lite_666-gru_large"}' --resized-shape 768 --file-type text_formula -i docs/examples/en1.jpg --save-debug-res out-debug-en1.jpg
```
Or use the free open-source models for recognition:
```bash
p2t predict -l en,ch_sim --resized-shape 768 --file-type text_formula -i docs/examples/en1.jpg --save-debug-res out-debug-en1.jpg
```
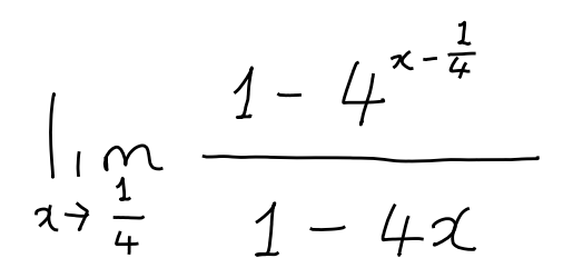
## Recognize Pure Formula Images
For images containing only mathematical formulas, you can use the `.recognize_formula()` function to recognize the formulas as LaTeX expressions. For example, for the following image ([examples/math-formula-42.png](examples/math-formula-42.png)):
{: style="width:300px"}
You can call the function like this:
```python
from pix2text import Pix2Text
img_fp = './examples/math-formula-42.png'
p2t = Pix2Text.from_config()
outs = p2t.recognize_formula(img_fp)
print(outs)
```
The returned result is a string representing the corresponding LaTeX expression. For detailed explanations, see [Usage](usage.md).
You can also achieve the same functionality using the command line. Below is a command that uses the premium model (MFR) for recognition:
```bash
p2t predict -l en,ch_sim --formula-ocr-config '{"model_name":"mfr-pro-1.5","model_backend":"onnx"}' --file-type formula -i docs/examples/math-formula-42.png
```
Or use the free open-source model for recognition:
```bash
p2t predict -l en,ch_sim --file-type formula -i docs/examples/math-formula-42.png
```
## Recognize Pure Text Images
For images containing only text without mathematical formulas, you can use the `.recognize_text()` function to recognize the text in the image. In this case, Pix2Text acts as a general text OCR engine. For example, for the following image ([examples/general.jpg](examples/general.jpg)):
{: style="width:400px"}
You can call the function like this:
```python
from pix2text import Pix2Text
img_fp = './examples/general.jpg'
p2t = Pix2Text.from_config()
outs = p2t.recognize_text(img_fp)
print(outs)
```
The returned result is a string representing the corresponding text sequence. For detailed explanations, see [API Documentation](https://pix2text.readthedocs.io/zh-cn/latest/pix2text/pix_to_text/).
You can also achieve the same functionality using the command line. Below is a command that uses the premium model (CnOCR) for recognition:
```bash
p2t predict -l en,ch_sim --text-ocr-config '{"rec_model_name": "doc-densenet_lite_666-gru_large"}' --file-type text --no-return-text -i docs/examples/general.jpg --save-debug-res out-debug-general.jpg
```
Or use the free open-source model for recognition:
```bash
p2t predict -l en,ch_sim --file-type text --no-return-text -i docs/examples/general.jpg --save-debug-res out-debug-general.jpg
```
## For Different Languages
### English
**Recognition Result**:

**Recognition Command**:
```bash
p2t predict -l en --mfd-config '{"model_name": "mfd-pro-1.5", "model_backend": "onnx"}' --formula-ocr-config '{"model_name":"mfr-pro-1.5","model_backend":"onnx"}' --text-ocr-config '{"rec_model_name": "doc-densenet_lite_666-gru_large"}' --resized-shape 768 --file-type text_formula -i docs/examples/en1.jpg
```
### Simplified Chinese
**Recognition Result**:

**Recognition Command**:
```bash
p2t predict -l en,ch_sim --mfd-config '{"model_name": "mfd-pro-1.5", "model_backend": "onnx"}' --formula-ocr-config '{"model_name":"mfr-pro-1.5","model_backend":"onnx"}' --text-ocr-config '{"rec_model_name": "doc-densenet_lite_666-gru_large"}' --resized-shape 768 --auto-line-break --file-type text_formula -i docs/examples/mixed.jpg --save-debug-res out-debug-mixed.jpg
```
### Traditional Chinese
**Recognition Result**:

**Recognition Command**:
```bash
p2t predict -l en,ch_tra --mfd-config '{"model_name": "mfd-pro-1.5", "model_backend": "onnx"}' --formula-ocr-config '{"model_name":"mfr-pro-1.5","model_backend":"onnx"}' --resized-shape 768 --auto-line-break --file-type text_formula -i docs/examples/ch_tra.jpg --save-debug-res out-debug-tra.jpg
```
> Note ⚠️: Please install the multilingual version of pix2text using the following command:
> ```bash
> pip install pix2text[multilingual]
> ```
### Vietnamese
**Recognition Result**:

**Recognition Command**:
```bash
p2t predict -l en,vi --mfd-config '{"model_name": "mfd-pro-1.5", "model_backend": "onnx"}' --formula-ocr-config '{"model_name":"mfr-pro-1.5","model_backend":"onnx"}' --resized-shape 608 --no-auto-line-break --file-type text_formula -i docs/examples/vietnamese.jpg --save-debug-res out-debug-vi.jpg
```
> Note ⚠️: Please install the multilingual version of pix2text using the following command:
> ```bash
> pip install pix2text[multilingual]
> ```